合作客戶/
拜耳公司 |
同濟大學 |
聯合大學 |
美國保潔 |
美國強生 |
瑞士羅氏 |
相關新聞Info
-
> 基于表面張力方法判斷物質(或材料)的親水性(一)
> 基于表面張力測試研究Gemini季銨鹽在氟磷灰石與石英界面的吸附行為
> 側鏈烷基的飽和度對腰果酚磺酸鹽水溶液的表面活性、界面活性的影響
> 香豆素取代二乙炔LB膜的組裝、聚合及螺旋結構形成機制(上)
> ?納米乳液NR-A脫附除油機理及效果
> 不同相對兩親面積的Janus顆粒在油氣表面性質和泡沫性能對比(二)
> 礦漿表面張力對黃鐵礦與磁黃鐵礦浮選回收率的影響(三)
> 表面張力儀工作原理、特點及使用注意事項
> 表面活性素制備、分離純化、溶液表面張力測定及膠束化行為研究(一)
> 水、常溫液態金屬等9種流體對液滴碰撞壁面影響的數值研究(二)
推薦新聞Info
-
> 單萜萜類驅油劑界面張力、配伍性、降黏效果及破乳效果測試與篩選(三)
> 單萜萜類驅油劑界面張力、配伍性、降黏效果及破乳效果測試與篩選(二)
> 單萜萜類驅油劑界面張力、配伍性、降黏效果及破乳效果測試與篩選(一)
> 紫檀芪的穩定性增強型抗氧化劑制作備方及界面張力測試——結果與討論、結論
> 紫檀芪的穩定性增強型抗氧化劑制作備方及界面張力測試—— 引言、材料與方法
> 香豆素取代二乙炔LB膜的組裝、聚合及螺旋結構形成機制(下)
> 香豆素取代二乙炔LB膜的組裝、聚合及螺旋結構形成機制(中)
> 香豆素取代二乙炔LB膜的組裝、聚合及螺旋結構形成機制(上)
> 電鍍液表面張力、接觸角、流速以及壓強等因素對硅通孔浸潤過程的影響(二)
> 電鍍液表面張力、接觸角、流速以及壓強等因素對硅通孔浸潤過程的影響(一)
?2,3-雙八氟戊烷基甘油醚-1-硫酸酯鈉的合成路線、表面張力及乳化性能(三)
來源:精細化工 瀏覽 138 次 發布時間:2025-11-18
2.2表面張力測試
測得不同濃度BOFPGS水溶液的表面張力,結果見圖6。由圖6可知,BOFPGS的臨界膠束濃度CMC為4.16×10-3 mol/L,所對應的最低表面張力為22.70 mN/m。相較于已報道八氟戊醇的表面活性劑(γ=24~29 mN/m),其表面活性具有一定的提升。原因是,在疏水基團中碳氟鏈相同情況下,增加分子中疏水基團的數量使碳氟鏈數目增加,鏈間分子作用力增大,疏水性增強,從而使表面活性得到提升。
圖6 BOFPGS水溶液的表面張力與濃度關系曲線
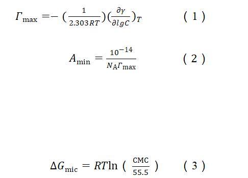
根據表面張力和濃度的關系曲線,使用吉布斯吸附等溫線〔方程(1)〕計算出表面活性劑分子吸附在氣液界面的最大表面過剩濃度(Гmax)。
式中:R為摩爾氣體常數,值為8.314 J/(mol?K);T是熱力學溫度,值為298 K;C為表面活性劑濃度,單位是mol/L;γ是表面活性劑在水溶液的表面張力,單位是mN/m。
每個分子的最小表面積(Amin)可由公式(2)計算得出。
式中:NA為阿伏伽德羅常數,為6.02×1023,Гmax的單位是mol/m2。
臨界膠束濃度時的標準吉布斯自由能由公式(3)計算得出。
根據以上公式,計算出BOFPGS的表面活性數據,結果如表1所示。由表1可知,BOFPGS具有與其他全氟烷基類表面活性劑相當的表面活性。由于BOFPGS分子尾端是HCF2—基團,并不是以全氟碳鏈作為疏水基,使其表面張力比全氟辛酸(POFA)稍高。但BOFPGS具有更低的臨界膠束濃度,這是由于分子結構中有親水醚鍵的存在。
| 表面活性劑 |
CMC (mmol/L) |
γCMC (mN/m) |
Amin (nm2) |
Γmax (10?1? mol/cm2) |
ΔGmic (kJ/mol) |
|---|---|---|---|---|---|
| PFhA | 28.01 | 23.98 | 1.49 | 1.11 | -18.82 |
| PFHA | 19.90 | 22.97 | 0.89 | 1.86 | -19.66 |
| PFOA | 13.51 | 19.98 | 0.76 | 2.18 | -20.63 |
| BOFPGS | 4.16 | 22.70 | 1.63 | 1.02 | -23.54 |
表1.在25℃時全氟辛酸銨(PFhA)、全氟己酸(PFHA)、全氟辛酸(PFOA)和BOFPGS的表面性質
2.3乳化性能
將同等體積的BOFPGS水溶液與液體石蠟混合均勻之后,在50℃恒溫中靜置觀察所形成的乳液析水情況,析水率越小說明乳化能力越強,形成的乳液越穩定。BOFPGS與液體石蠟形成乳液的析水率如圖7所示。從圖7可以看出,乳液隨著靜置時間增加,析水率增大,約在30 min以后乳液達到穩定,析水率趨于平衡。BOFPGS濃度越大乳液越穩定,析水率越低,BOFPGS濃度為0.8×10-3、1.6×10-3和3.2×10-3 mol/L的乳化性能接近,相較于KANG等人合成的短氟鏈陰離子表面活性劑(在表面活性劑質量分數為1%的水溶液中才能表現出穩定的乳化性能),BOFPGS的用量更低,具有更好的乳化性能,可大大降低BOFPGS的使用成本。
圖7不同濃度BOFPGS的乳化能力測試
2.4細胞活性檢測
表面活性劑的毒理性質是評價表面活性劑安全性的重要參數,采用MTT法來測試BOFPGS對細胞活性的影響。將濃度梯度為8.04×10-6 1.6×10-4 mol/L(5~100 mg/L)的BOFPGS加入到96孔板中培養HSF細胞24 h,細胞活性變化情況如圖8所示。從圖8可以看出,HSF細胞在BOFPGS濃度為8.04×10-6 1.6×10-4 mol/L作用下其細胞活性都在90%以上。說明在8.04×10-6 1.6×10-4 mol/L濃度范圍內,BOFPGS對HSF細胞沒有表現出明顯的毒性的,有望作為環保、安全的產品進行使用。
圖8不同濃度BOFPGS時HSF細胞活性
3結論
以八氟戊醇為原料,2,3-二溴丙醇為連接基,氯磺酸為硫酸酯化試劑,通過兩步法合成了與甘油醚結構類似的含兩條氟烷基的陰離子表面活性劑(2,3-雙八氟戊烷基甘油醚-1-硫酸酯鈉)。使用FTIR、NMR和MS對中間產物和目標產物進行了結構表征。其具有兩條較短的氟碳鏈,最低表面張力為22.70 mN/m,臨界膠束濃度CMC為4.16×10-3 mol/L,表現出與典型的碳氟表面活性劑相當的表面活性。其在較低濃度(0.8×10-3 mol/L)的水溶液中仍然具有良好的乳化性能,能夠較大程度地減少氟碳的使用成本。另外,通過細胞毒性測試表明,在8.04×10-6 1.6×10-4 mol/L濃度范圍內,其沒有表現出很高的毒性。該表面活性劑所表現出高表面活性、乳化性能以及很低的細胞毒性,有望作為低毒的氟碳表面活性劑進行使用。





